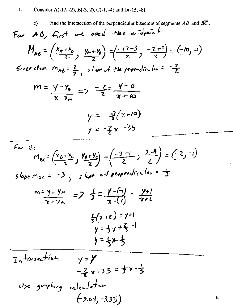
Coordinate Geometry practise test solutions

Questions like # 5 will not be on the test.