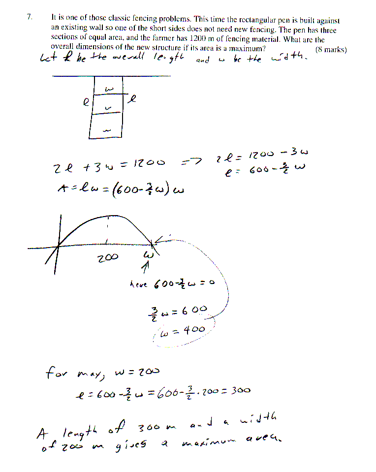
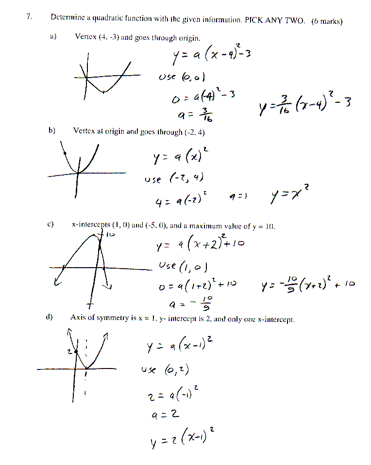
Quadratic practise test solutions