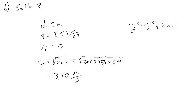
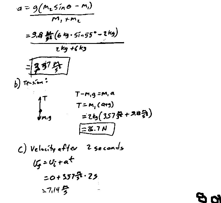
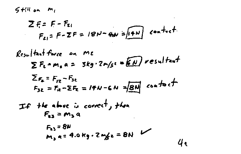
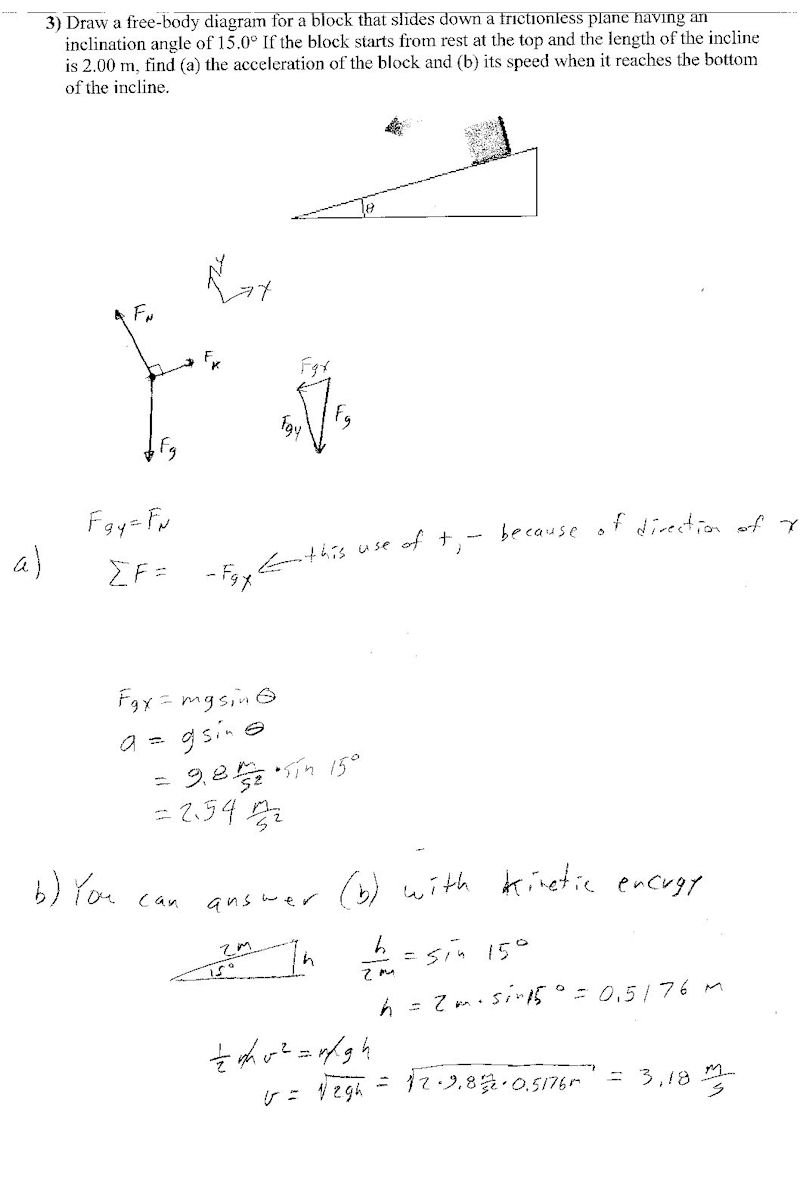
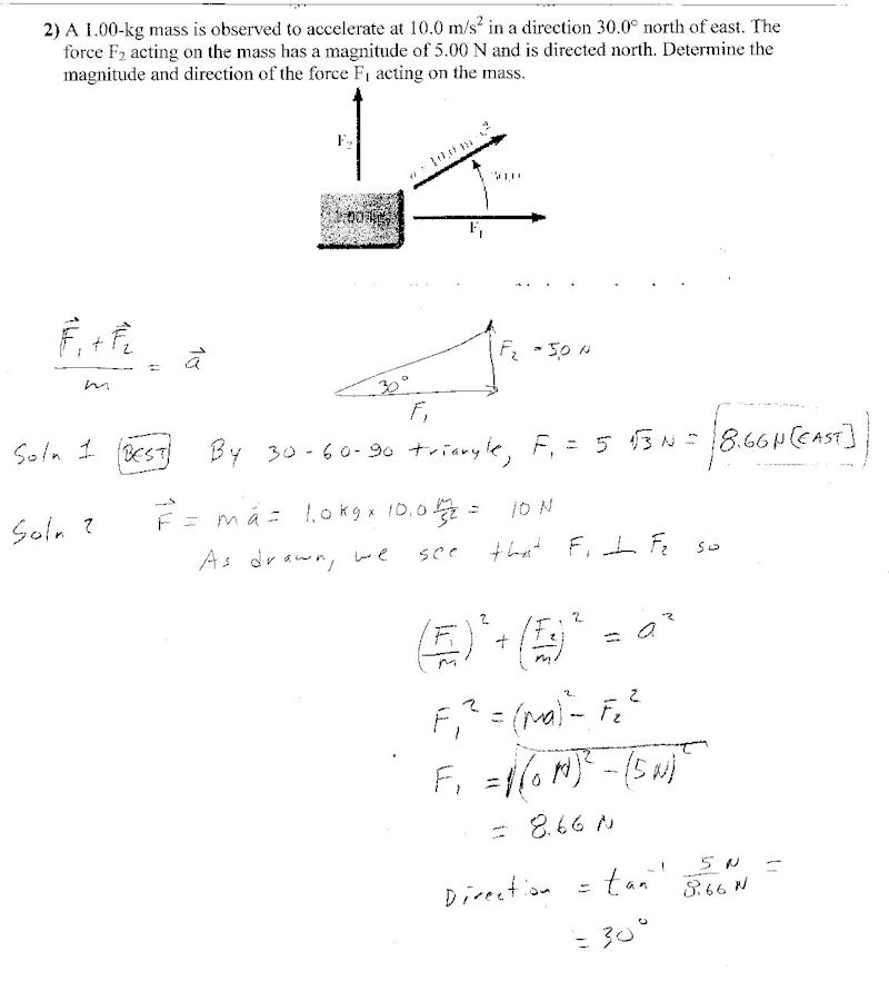
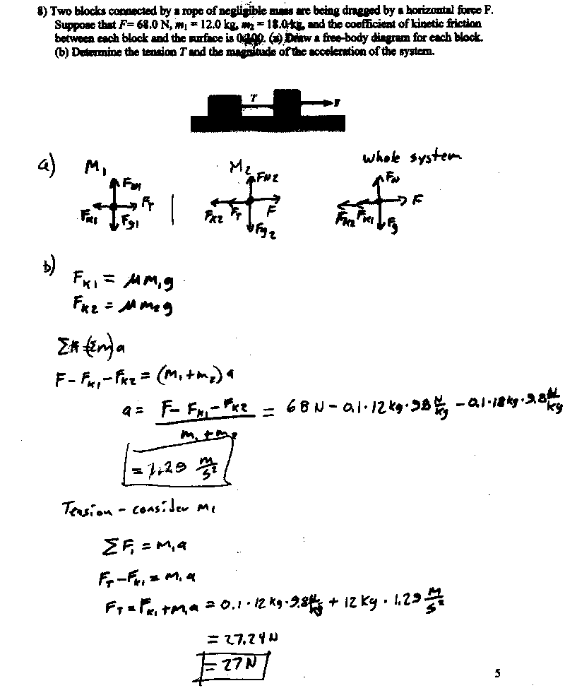
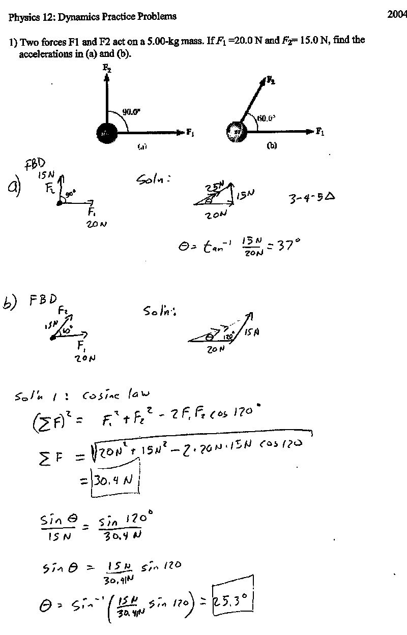
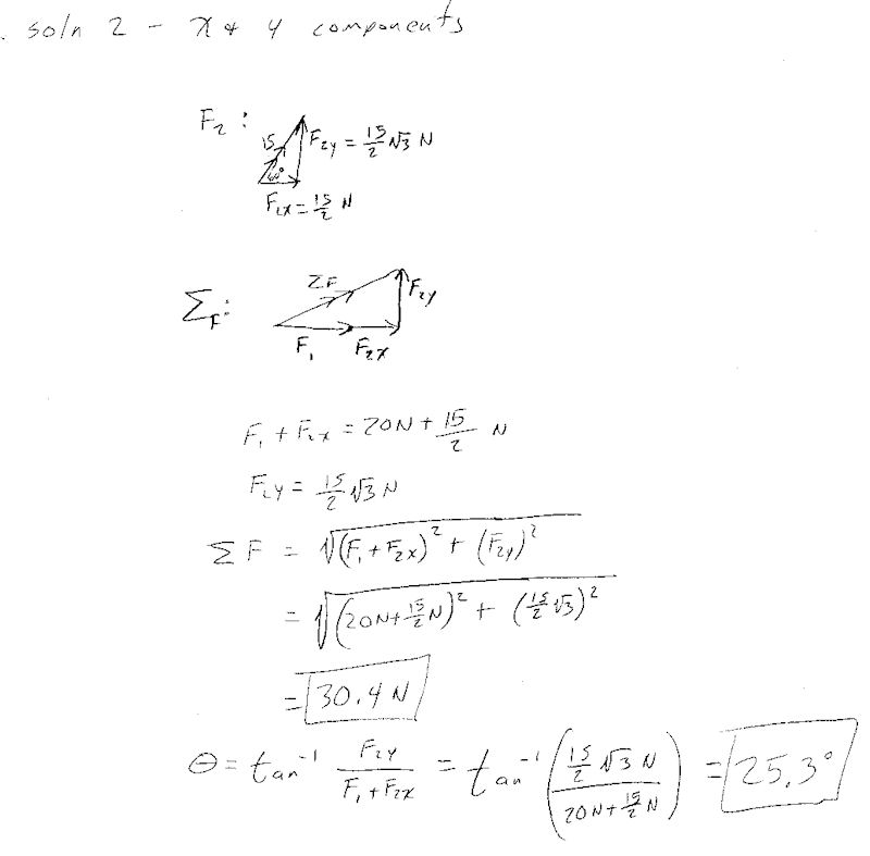
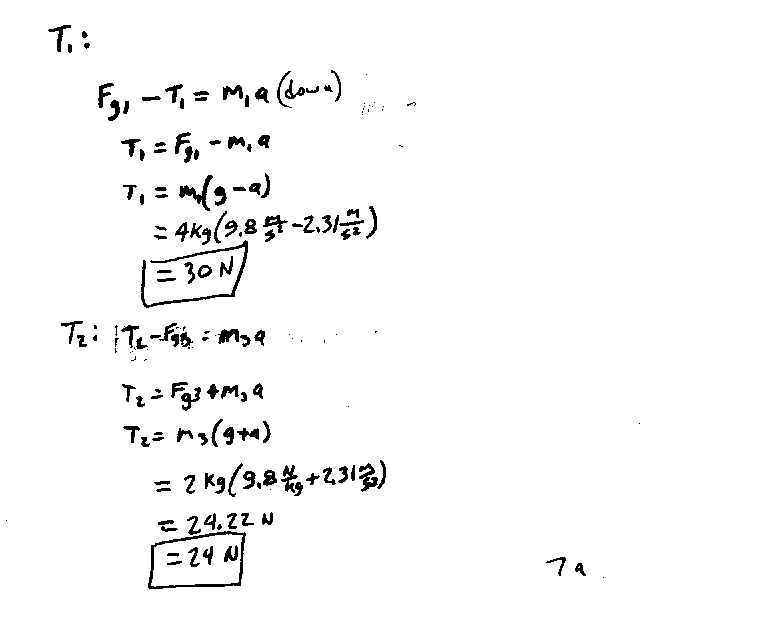
Dynamics solutions